Detection of invalid test scores: The usefulness of simple nonparametric statistics
01 Nov , 2013·,
Jorge N. Tendeiro
Rob R. Meijer

Abstract
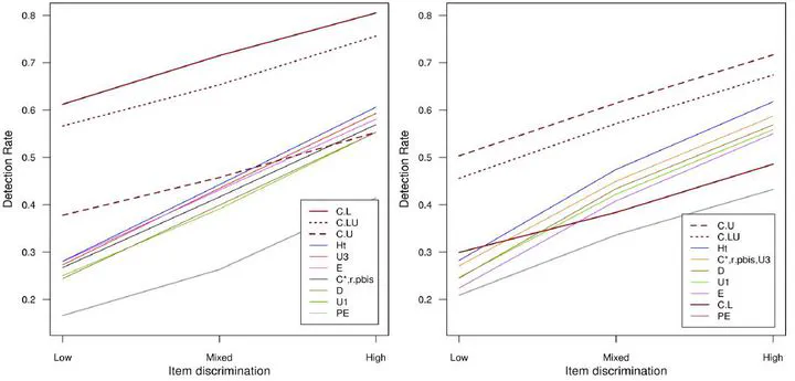
Most high-stakes testing programs apply methods to identify unlikely patterns of correct/incorrect responses to test questions. Some examples of why such patterns may occur include misinterpretation of questions, question preknowledge, answer copying, or guessing behavior. This report provides an overview of existing approaches to identifying atypical response patterns that fall into a class of analyses known as nonparametric statistics. Results of a simulation study comparing the different approaches, along with guidelines for applying these indices in practice, are also presented.
Type
Publication
Law School Admission Council