Does Functional Somatic Symptoms measurement differ across Sex and Age? Differential Item Functioning in Somatic Symptoms measured with the CIDI
01 Oct , 2022·,,,,,
Angélica Acevedo-Mesa
Rei Monden
Sebastian Castro-Alvarez
Judith G. M. Rosmalen
Annelieke Roest
Jorge N. Tendeiro

Abstract
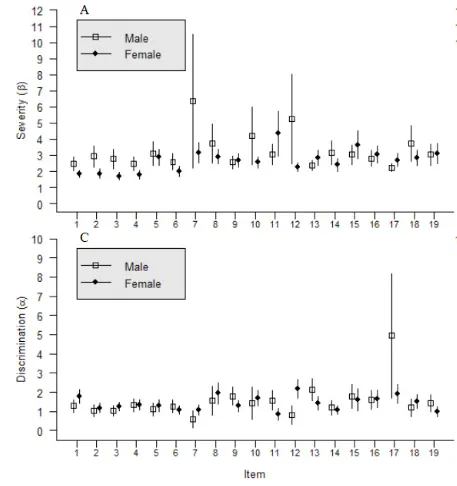
Functional Somatic Symptoms (FSS) are physical symptoms that cannot be attributed to underlying pathology. Their severity is often measured with sum-scores on questionnaires; however, this may not adequately reflect FSS severity in subgroups of patients. We aimed to identify the items of the somatization section of the Composite International Diagnostic Interview that best discriminate FSS severity levels, and to assess their functioning in sex and age subgroups. We applied the Two Parameter Logistic Model to 19 items in a sample of 962 participants from the Prevention of Renal and Vascular End Stage Disease study. Subsequently, we examined Differential Item Functioning (DIF). ‘Localized (muscle) weakness’ was the most discriminative item of FSS severity. ‘Abdominal pain’ consistently showed DIF by sex, with males reporting it at higher FSS severity. There was no consistent DIF by age, however, ‘joint pain’ showed poor discrimination of FSS severity in older adults. Clinicians and researchers could give differential attention to these symptoms when assessing FSS.
Type
Publication
Assessment, 29