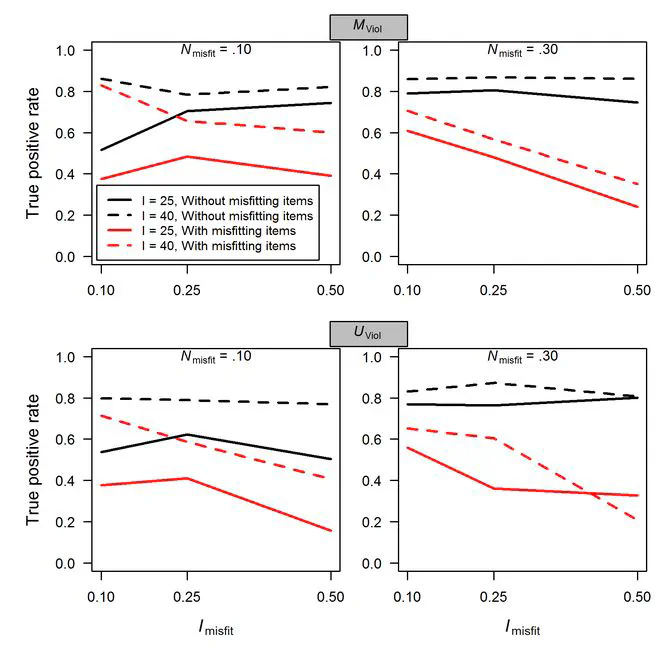
Predicting future academic success: How a Bayesian approach can be of help in analyzing and interpreting admission test scores
The aim of this study was twofold: First, we investigated whether scores on an admission test administered in proctored and unproctored environments led to similar predictions of …










